• <tt id="uuuuu"></tt>
  • <li id="uuuuu"></li>
    <li id="uuuuu"></li>
    <tt id="uuuuu"></tt>
    <tt id="uuuuu"></tt>
    <li id="uuuuu"></li>
  • <li id="uuuuu"></li>
  • 3351(壓力、差壓)變送器的現場應用原理介紹

    發布時間:2025-06-02 ??? 瀏覽次數:
     3351系列壓力變送器、差壓變送器是對中低壓蒸汽、氮氣、壓縮空氣等能源介質的瞬時量和累積流量進行統計的儀表,是工礦企業能源核算的重要依據。隨著工礦企業對降低生產成本考核,要求能源計量一次儀表測量精度高,故障率低,性價比高,投運率高,長期穩定地提供準確數據。
    1差壓式流量計的測量原理
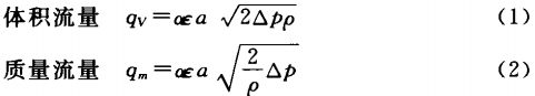
      流量基本方程式是闡明流量與壓差之間定量關系的公式,是根據流體力學中的伯努利方程和連續性方程推導出來的,即
     
    式中
    α---流量系數;
    ?---流束的膨脹校正系數;
    a---孔板節流截面積;
    △p---節流元件前后的壓差,Pa;
    ?---工作狀態下流體密度,kg/m³。
      由式(1)、(2)可知,當α,?,a,ρ一定時,流量與差壓的平方根成比例。
    2智能變送器的測量t原理及特點
      通過比較,選用忠和測控儀表3351DP差壓變送器和1臺3351GP壓力變送器。
    2.1  3351DP差壓變送器和1臺3351GP壓力變送器工作原理
    1)3351變送器仍然使用與普通型變送器一樣的δ室傳感器,工作時,過程壓力(流量差壓)通過變送器膜盒高、低壓側的隔離膜片和填充液傳遞到δ室傳感器中心的傳感膜片(可動電.容極板)上。傳感膜片是一個張緊的彈性元件,其位移隨所受差壓而變化,其最大位移量為0.1mm且位移量與壓力成正比。兩側的固定電容極板檢測傳感膜片的位置。傳感膜片和固定電容極板之間電容的差值由轉換電路轉換為相應的電流信號或數字Hart輸出信號。
    測量轉換基于如下關系式。
     
    式中p一被測壓力(或差壓);
    K1一常數;
    CH一高壓側(測量壓力側)極板和測量膜片之間的電容;
    CL一低壓側(參考壓力側)極板和測量膜片之間的電容。
      3351智能變送器使用代碼為S的智能電路板。轉換電路線路板采用專用集成電路(ASICS)和表面封裝技術,接收傳感器的數字信號并進行修正和線性化處理,輸出部分將數字信號轉換為模擬輸出信號。并可與Hart通信器(如275型通信手操器)通信,Hart通信器可直接存取傳感器的數字信號和對變送器進行組態、測試。組態數據存儲在非易失性EEPROM存儲器中,即使變送器斷電,數據仍能保存。過程變量則以數字數據方式保存,可進行正確地修正和工程單位換算。
    2)3351智能變送器采用新型的共面傳感膜頭,具有很高的靈活性,傳感器遠離過程法蘭,移至外殼的頸部,從而實現了機械隔離和熱隔離。傳感膜頭還可進行溫度測量,用于補償溫.度影響。出廠測試時的數據和修正系數都存儲在傳感膜頭的內存中,便于使用,在更換線路板時無需重新校驗或拆下獨立的儲存修正系數的PROM。傳感膜頭內置線路板用于將電容信號與溫度信號直接轉換為可供轉換電路板進一步處理的數字格式信號。
    2.2主要技術數據
     3351單晶硅變送器除選用S代碼的智能電路板和智能功能外,其余與普通3351變送器基本相同,技術參數不再多述。3351單晶硅變送器的主要技術數據。
    1)精度:±0.075%FS
    2)穩定性:0.25%,5A,(25℃)。
    3)量程比:100:1。
    4)更新速率:最少每秒20次。
    5)多種輸出:標準4~20mADC疊加Hart數字線性或平方根信號,工作電源10.5~30VDC,通訊要求至少有250Ω回路電阻;
    6)指示:可選兩行5位液晶顯示表頭。
    7)環境溫度:-40~85℃。
    8)變送器外部有量程與零點按鈕用于校驗。
    9)電源:24VDC;不帶負載時,工作電源可為12~45VDC。
    10)單向超負荷極限:0~14MPa。
    3、3351變送器與DCS組成測量t回路
     下圖給出3351變送器與DCS組成測量回路的簡單示意圖。
     
     3351由控制室DCS供電,采用安全柵進行供電隔離,然后這些信號送到DCS的FTA接線端子。真正流量顯示,流量累積還需要DCS通過組態,進行壓力補償,才能完成。流量現場顯示為中央控制室顯示。
     差壓式流量計常規設計時,由式(1)和式(2)可以看出,把α,ρ,?均作為不變常數來考慮,則qv正比于△p的平方根。但在實際測量中,p,T不可能不變,例如現場用的700kPa蒸汽,當壓力波動達.10%時,qv的誤差可達到5%~15%。由此可見,對壓力作自動修正是必不可少的。
    引用公式進行修正后的流量qv'為
     
    式中qv'一修正流量;
    qv一計算流量;
    p一計算壓力;
    p'一實際測量壓力;
    K一-實際測量溫度;
    K'一實際測量溫度;
    ?一計算流束膨脹系數;
    ?'一實際流束膨脹系數。
    因為溫度、壓力變化引起密度變化,引人密度校正公式。
    ρ=ρk+△p(p-pk)(5)
    △p=(ρmax-ρk)/(pmax一pk)
    式中ρ一工作狀態下的流體密度;
    ρk一最低壓力下的流體密度;
    △ρ一修正范圍內的平均流體密度;
    p一工作壓力;
    Pk一修正范圍內的最低壓力。
    上一篇:淺析熱電阻的常見故障與解決辦法   下一篇:耐震壓力表分類選擇介紹
    一本精品99久久精品77